Miniscule Dicky King tables new CASA SOE??
![[Image: download.jpg]](https://auntypru.com/wp-content/uploads/2025/11/download.jpg)
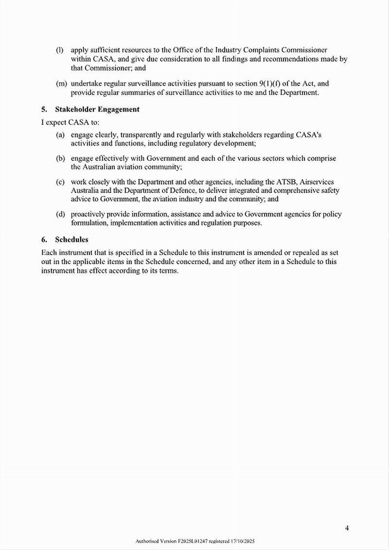
Via the APH legislative instrument website: CASA SOE 2025-2027
Hmm...the miniscule squeaked this through presumably without any industry consultation, yet another wet lettuce document designed to keep the Fat Cat Aviation Safety bureaucracy in jobs for at least another 2 years - FFS!
MTF...P2
![[Image: download.jpg]](https://auntypru.com/wp-content/uploads/2025/11/download.jpg)
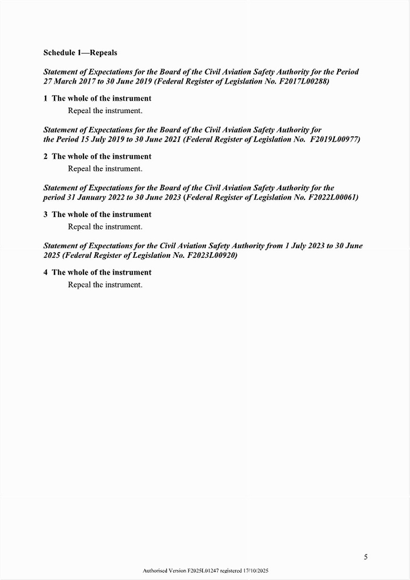
Via the APH legislative instrument website: CASA SOE 2025-2027
Quote:
Hmm...the miniscule squeaked this through presumably without any industry consultation, yet another wet lettuce document designed to keep the Fat Cat Aviation Safety bureaucracy in jobs for at least another 2 years - FFS!
MTF...P2


![[Image: SOE-1.jpg]](https://auntypru.com/wp-content/uploads/2025/11/SOE-1.jpg)
![[Image: SOE-2.jpg]](https://auntypru.com/wp-content/uploads/2025/11/SOE-2.jpg)
![[Image: SOE-3.jpg]](https://auntypru.com/wp-content/uploads/2025/11/SOE-3.jpg)
![[Image: SOE-4.jpg]](https://auntypru.com/wp-content/uploads/2025/11/SOE-4.jpg)
![[Image: SOE-5.jpg]](https://auntypru.com/wp-content/uploads/2025/11/SOE-5.jpg)